Technique québécoise de dosimétrie clinique

 

Tome I (1er document: 1 champ, et 2e document: 2 champs en sens inverses)

 

I. Roentgenthérapie avec cones et distance foyer-peau constante

II. Roentgenthérapie avec diaphragmes et distances foyer-peau constantes

III. Télécésiumthérapie et télécobalthérapie à distances source-peau constantes

 

par J.-M. Légaré et autres

 

Page principale J.-M. Légaré

Services de radioprotection commerciaux

  1. Résumé
  2. Exemples de champs simples et doubles de 20 cm x 20 cm avec diaphragmes
  3. Facteur de rétrodiffusion vs épaisseur de demi-atténuation (EDA)
  4. Coefficients de sortie « S » en fonction de la profondeur « p » de tissus de densité unitaire pour un champ de 35 x 35 cm2
  5. Fraction R de la dose totale provenant des rayons rétrodiffusés en fonction de l'épaisseur e-p de tissus de densité unitaire ajoutée à un champ de 35 x 35 cm2 à la profondeur p
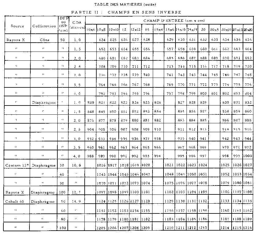
  6. Table des matières des abaques ou dessins à l'échelle nature pour un champ simple, et pour deux champs en sens inverses

 

  1. Resumen
  2. Ejemplos de campos simples de 20 cm x 20 cm con diafragmas

 

  1. Summary

 

  1. Resumo

 

Quebecker Methode zur klinischen Dosimetrie für Röntgenapparate sowie Cäsium-137-und Cobalt-60-Bestrahlungsgeräte mit konstanten Quelle-Haut-und Quelle-Zentrum-Abständen

 

Résumé

 

Les auteurs calculent en chaque point « P » le rendement réel de la dose tissulaire « Dp » le long de l'axe central à chaque centimètre de profondeur d'un mannequin de 0, 1, 2, 3, 4 ... 26 cm d'épaisseur en utilisant l'équation suivante qu'ils ont déjà publiée: Dp = Dt [S(1-R) + R]. Ceci se fait par l'intermédiaire d'un ordinateur IBM 360 modèle 50 auquel on fournit les données des rendements de dose classiques « Dt » déjà connus ailleurs pour un mannequin de tissu aqua-équivalent demi-infini ainsi que les données des coefficients de rétrodiffusion « R » et de sortie « S » établis expérimentalement et présentés dans ce travail.

Après avoir calculé toutes les valeurs numériques pour les champs simples et les champs en sens inverse, les auteurs élaborent 1216 diagrammes ou abaques en se servant d'un traceur de courbes no 770/663 sur deux sortes de triangles qu'ils ont conçus. Ces triangles leur permettent d'établir préalablement la distribution de la dose sur l'axe central pour chacun des 608 champs simples et des 608 champs en sens inverse. Il n'y a aucun calcul à effectuer, à l'exception du temps de traitement des champs choisis.

À titre d'exemple, prenons à 1'échelle nature, une coupe perpendiculaire à l'axe d'un patient d'une certaine épaisseur (fig. 1) sur laquelle nous traçons l'axe central où nous voulons connaître d'une part, la distribution réelle de la dose axiale pour un champ simple et, d'autre part, celle pour deux champs en sens inverse. Afin de résoudre ces deux problèmes de dosimétrie clinique relativement à la couche de demi-absorption (CDA) et à la grandeur de champ choisies, il suffit de glisser horizontalement la coupe du patient de la figure 1 sur l'abaque du champ simple (fig. 2) ou sur celle des deux champs en sens inverse (fig. 3), jusqu'à ce que les parties inférieure et supérieure de l'axe central de la coupe entrent en contact avec les côtés du triangle. Il ne reste qu'à lire les valeurs numériques aux points de rencontre entre l'axe central du patient et les courbes de l'abaque choisie (figure 2 ou figure 3). L'obtention de toutes ces valeurs est instantanée et ne nécessite aucun calcul. Les valeurs aux interfaces s'obtiennent par interpolation visuelle. Toutes les valeurs sont relatives, soit aux valeurs de la dose d'exposition à la face d'entrée, ou à la profondeur où s'établit l'équilibre électronique de chaque champ avec un maximum de rétrodiffusion. Ceci explique que la dose en l'absence de mannequin est inférieure à 100 p. 100 pour les champs simples et inférieure à 200 p. 100 pour les champs en sens inverse. En fait, dans ces deux situations spéciales, elle est égale à 100 ÷ (facteur de rétrodiffusion classique) pour les champs simples et 200 ÷ (facteur de rétrodiffusion classique) pour les champs en sens inverse.

Les 1216 abaques de ce travail s'appliquent aux champs circulaires, rectangulaires et carrés. Il y a 28 champs simples et 28 champs doubles pour chacune des situations utilisée en roentgenthérapie de moyenne énergie. En roentgenthérapie de 2 MV et en télégammathérapie (césium 137 et cobalt 60), il y a 27 champs simples et 27 champs doubles pour chacune des situations.

En roentgenthérapie de moyenne énergie, la distance foyer-peau est fixée à 50 cm mais les couches de demi-absorption sont successivement de 1,0 1,5 2,0 2,5 3,0 3,5 et 4,0 mm de cuivre; les abaques s'appliquent à tout générateur muni d'un cône, ou d'un diaphragme. On y présente également les résultats pour les générateurs de 2 MV ayant une couche de demi-absorption de 12,5 mm de cuivre fonctionnant à une distance foyer-peau de 100 cm. En télécésiumthérapie , les abaques s'appliquent aux appareils fonctionnant à des distances source-peau de 30, 40 et 50 cm, alors qu'en télécobalthérapie elles s'appliquent aux distances source-peau de 50, 60, 80 et 100 cm.

Notez que la qualité (pouvoir de pénétration) d'un champ s'exprime par la CDA, appelée aussi CDT, du champ réduit temporairement à un très petit champ lors des mesures.

 

Exemples de champs simples de 20 cm x 20 cm avec diaphragmes:

Figure 4

Figure 5

Figure 6

Figure 7

1,0 mm Cu

2,0 mm Cu

3,0 mm Cu

4,0 mm Cu

Figure 8

Figure 9

Figure 10

10,8 mm Cu (Cs 137)

12,5 mm Cu

14,9 mm Cu (Co 60)

Exemples de champs doubles de 20 cm x 20 cm avec diaphragmes:

Figure 4

Figure 5

Figure 6

Figure 7

1,0 mm Cu

2,0 mm Cu

3,0 mm Cu

4,0 mm Cu

Figure 8

Figure 9

Figure 10

10,8 mm Cu (Cs 137)

12,5 mm Cu

14,9 mm Cu (Co 60)

Facteur de rétrodiffusion vs épaisseur de demi-atténuation (EDA)

(À partir des valeurs 1/S pour une profondeur p = 0 du tome I de technique québécoise de dosimétrie clinique, Légaré et altera, 1976 et grandeur de champ)

 

CDA mm Cu

ou

EDA mm Cu

Grandeur de champ en cm x cm

(petit champ)

0 x 0

5 x 5

10 x 10

15 x 15

20 x 20

25 x 25

30 x 30

35 x 35

1,0

1,00

1,20

1,36

1,44

1,49

1,53

1,56

1,60

1,5

1,00

1,18

1,34

1,40

1,45

1,48

1,50

1,52

2,0

1,00

1,16

1,30

1,37

1,41

1,44

1,45

1,45

2,5

1,00

1,15

1,27

1,35

1,38

1,40

1,41

1,42

3,0

1,00

1,13

1,25

1,32

1,35

1,37

1,38

1,38

3,5

1,00

1,12

1,23

1,30

1,33

1,35

1,36

1,36

4,0

1,00

1,11

1,21

1,27

1,30

1,32

1,33

1,34

10,8

Césium 137

662 keV

1,00

1,02

1,04

1,05

1,06

1,07

1,07

1,08

12,5

Accélér.

2 MV

1,00

1,02

1,03

1,04

1,05

1,06

1,07

1,08

14,9

Cobalt 60

1,25 MeV

1,00

1,01

1,02

1,03

1,04

1,05

1,06

1,07

  1. Les facteurs de rétrodiffusion (FRD) pour les plus grands champs ou faisceaux sont les plus utiles en radioprotection
  2. Les FRD ci-dessus proviennent de mes valeurs expérimentales d'ionisation, sans et avec des mannequins de presdwood de densité 1,00 en forme de parallépipèdes droits
  3. La 1ère CDA ou EDA du champ telle que réduite temporairement à un très petit champ est l'une des façons possibles de préciser la qualité ou le pouvoir de pénétration d'un champ de rayons ionisants. Parfois, on y précise en plus la 2e CDA ou EDA.
  4. Lexique d'équivalences linguistiques
    1. Facteur de rétrodiffusion (FRD) = Factor de retrodispersión (FRD) = Factor de retrodifusão (FRD) = Backscattor factor (BSF) = Rückstreuungfaktor (RSF)
    2. Grandeur de champ = Tamaño de campo = Tamanho de campo = Fieldsize = Feldgröße
    3. Couche de demi-atténuation (CDA) ou épaisseur de demi-atténuation (EDA) ou épaisseur de demi-transmission (EDT) ou couche demi-transmission (CDT) = Espesor hemirreductora (EHR) o espesor de media transmisión (EMT) o capa hemirreductora (CHR) = Espessura de meia atenuação (EMA) ou espessura de meia transmissão (EMT) = Half-value layer (HVL) or half-value thickness (HVT) = Halbwertschichtdicke (HWSD)
  5. Cliquez ici pour consulter le livre de Légaré et Aubé, 1995:
    1. autres données du facteur de rétrodiffusion vs qualité des rayons ionisants et grandeur de champ
    2. liens entre CDA (EDA) ou EDT (épaisseur de décitransmission) et l'énergie équivalente des ondes ionisantes (rayons X et gamma)

 

Coefficients de sortie « S » en fonction de la profondeur « p » de tissus de densité unitaire pour un champ de 35 x 35 cm2

 

CDA

Profondeur p (cm)

mm Cu

0

1,0

2,0

5,0

10,0

15,0

20,0

25,0

30,0

1,0

0,624

0,634

0,624

0,613

0,613

0,602

0,608

0,605

0,599

1,5

0,659

0,650

0,641

0,630

0,628

0,617

0,624

0,618

0,616

2,0

0,691

0,668

0,651

0,646

0,638

0,629

0,631

0,626

0,624

2,5

0,703

0,685

0,670

0,663

0,645

0,636

0,637

0,638

0,636

3,0

0,724

0,698

0,685

0,671

0,654

0,647

0,645

0,646

0,644

3,5

0,738

0,708

0,698

0,679

0,664

0,657

0,651

0,649

0,645

4,0

0,749

0,720

0,708

0,685

0,673

0,666

0,657

0,660

0,651

10,8

Cs 137

0,926

0,911

0,899

0,881

0,871

0,865

0,862

0,861

0,862

12,5

2 MV

0,930

0,920

0,912

0,900

0,894

0,887

0,884

0,883

0,883

14,9

Co 60

0,934

0,929

0,926

0,920

0,918

0,910

0,908

0,906

0,904

1. Ces valeurs proviennent des tableaux 1S à XS, p XXXIV à LIII du tome I, première partie

2. Facteur de rétrodiffusion = 1/S lorsque le point P est à une profondeur, p = 0

Voir le tableau des facteurs de rétrodiffusion vs EDA (petits champs) et grandeur de champ

 

Fraction R de la dose totale provenant des rayons rétrodiffusés en fonction de l'épaisseur e-p de tissus de densité unitaire ajoutée à un champ de 35 x 35 cm2 à la profondeur p

 

CDA

Épaisseur e-p de tissu (cm) au-delà de la profondeur p

mm Cu

0

0,5

1,0

1,5

2,0

2,5

3,0

3,5

4,0

4,5

5,0

6,0

7,0

8,0

9,0

10,0

12,0

14,0

16,0

18,0

20,0

1,0

0

0,11

0,24

0,35

0,41

0,48

0,55

0,60

0,64

0,68

0,72

0,78

0,83

0,86

0,88

0,90

0,94

0,96

0,99

0,99

1,00

1,5

0

0,11

0,24

0,35

0,41

0,48

0,55

0,59

0,63

0,67

0,71

0,77

0,82

0,86

0,88

0,90

0,94

0,96

0,98

0,99

1,00

2,0

0

0,11

0,24

0,35

0,41

0,48

0,55

0,59

0,63

0,67

0,71

0,77

0,82

0,86

0,88

0,91

0,95

0,96

0,98

0,99

1,00

2,5

0

0,11

0,22

0,32

0,39

0,45

0,53

0,57

0,61

0,65

0,69

0,76

0,80

0,85

0,87

0,89

0,93

0,95

0,97

0,98

0,99

3,0

0

0,11

0,21

0,29

0,37

0,43

0,51

0,56

0,59

0,63

0,67

0,75

0,78

0,84

0,87

0,88

0,92

0,95

0,97

0,98

0,99

3,5

0

0,11

0,20

0,28

0,36

0,41

0,49

0,54

0,57

0,62

0,66

0,73

0,77

0,83

0,86

0,88

0,92

0,95

0,97

0,98

0,99

4,0

0

0,11

0,20

0,27

0,35

0,40

0,47

0,52

0,56

0,61

0,65

0,72

0,76

0,82

0,86

0,88

0,92

0,96

0,97

0,98

0,99

10,8

Cs 137

0

0,08

0,17

0,26

0,34

0,41

0,47

0,52

0,57

0,63

0,67

0,73

0,78

0,82

0,85

0,88

0,92

0,96

0,97

0,98

0,99

12,5

2 MV

0

0,08

0,17

0,26

0,34

0,41

0,47

0,52

0,57

0,63

0,67

0,73

0,78

0,82

0,85

0,88

0,92

0,96

0,97

0,98

0,99

14,9

Co 60

0

0,08

0,18

0,27

0,35

0,41

0,47

0,52

0,57

0,63

0,67

0,73

0,78

0,82

0,85

0,88

0,92

0,96

0,97

0,98

0,99

1. Ces valeurs proviennent des tableaux 1R à XR, p XXIV à XXXIII

 

On peut obtenir de plus plus amples détails dans l'article complet de Strahlentherapie.

Les deux tômes se sont vendus rapidement par le passé. Il y a néanmoins possibilité de faire une entente sur un nombre limité de pages au prix coûtant (photocopies et poste) avec l'auteur J.-M. Légaré qui en possède un exemplaire unique.

 

Table des matières des abaques ou dessins à l'échelle nature pour un champ

 

(Tableaux 1a et 1b), et pour deux champs (Tableaux 2a et 2b)

 

Resumen

 

Página principal Radioprotection J.-M. Légaré

Servicios de radioprotección profesionales

Los autores han calculado en cada punto "P" la dosis necesaria "Dp" a lo largo del eje central a cada centimetro de profundidad en un maniqui de 0, 1, 2, 3, 4, ... 26 cms de espesor, utilizando la equación: Dp = Dt [S(1-R) + R] anteriormente publicada por ellos. Las dosis clasicas relativas para un maniqui semi-infinito "Dt" y de los coeficientes de retrodispersión "R" y de salida "S" establecidos experimentálmente y presentados en este trabajo, sirven a calcular "Dp" por mediación de un cerebro electrónico IBM 360 modelo 50.

Después de haber calculado todos los valores numéricos para los campos simples y en sentido inverso, los autores eleboran 1216 diagramas sirviendose de un trazador de curvas Calcomp No 770/663 sobre los dos tipos de triángulos descritos. Con ayuda de los triángulos podemos obtener previamente, la distribución de la dosis sobre el eje central, para cada uno de los 608 campos simples y los 608 en sentido inverso. Ejemplo: Tomemos la sección a escala natural de un plano perpendicular al eje de un paciente de cierto espesor (figura no 1) trazemos el eje central sobre el cual queremos saber primeramente la distribución real de la dosis para un campo simple y en segundo lugar para dos campos en sentido inverso. Para encontrar en los dos casos citados la concentración de la dosis a administrar directamente en la capa de semi-absorción y en todos los puntos elegidos del campo, solo hay que desplazar horizontálmente la sección del plano perpendicular al paciente (figura no 1) sobre el diagrama de la table de cálculo de un campo simple (figura no 2) ó sobre el de los dos campos en sentido inverso, (figura no 3), hasta que las dos partes inferior y superior, del eje central de la sección del plano perpendicular del paciente, coincida con los lados del triángulo. Automáticamente se puede leer los valores en los puntos de intercesión del eje central de la sección del paciente y las curvas de la tabla de cálculo elegida (figura no 2 o figura no 3). La lectura de estos valores es instantanea y no necesita ningún cálculo, los valores intermedios se obtienen por interpolación visual. Todos los valores son relativos a los valores de la dosis de exposición a la entrada o a la profundidad del equilibrio electrónico de cada campo con el valor máximo de retrodispersión. Esto explica que la dosis cuando no hay maniqui es inferior a 100% para los campos simples e inferior a 200% para los campos en sentido inverso. En estos dos casos especiales, la dosis es igual a 100 ÷ (factor de retrodispersión clásica) para los campos simples y de 200 ÷ (factor de retrodispersión clásica) para los campos en sentido inverso. Los 1216 diagramas de este trabajo se pueden aplicar a campos circulares, rectangulares y cuadrados. Hay 28 campos simples y 28 campos dobles para cada una de los situaciones de utilización en roentgenterapía de energía media. En roentgenterapía de 2 MV y telegamaterapía (cesio 137 cobalto 60) hay 27 campos simples y 27 campos dobles para cada una de la situaciones de utilización.

En roentgenterapia la distancia del foco a la piel es de 50 cm., pero las capas de semi- absorción son sucesivamente de 1,0 1,5 2,0 2,5 3,0 3,5 y 4,0 mm de cobre; los diagramas de cálculo se aplican a todo generador provisto de un cono o de un diafragma. Los resultados, para los generadores de 2 MV (megavoltios) que poseen una capa de semi-absorción de 12,5 mm de cobre y que funcionan a una distancia de 100 cm, entre el foco y la piel, se pueden leer sobre los mismos diagramas de cálculo. En telecesio-terapía, los diagramas se pueden emplear para los cálculos, en los aparatos que funcionan a 30, 40 y 50 cm. de distancía entre el foco y la piel, mientras que en telecobaltoterapía se utilizan a distancias entre el foco y la piel de 50, 60, 80 et 100 cm.

Clique aquí para ejemplos

 

Ejemplos de campos simples de 20 cm x 20 cm con diafragmas:

Figura 4

Figura 5

Figura 6

Figura 7

1,0 mm Cu

2,0 mm Cu

3,0 mm Cu

4,0 mm Cu

Figura 8

Figura 9

Figura 10

10,8 mm Cu (Cs 137)

12,5 mm Cu

14,9 mm Cu (Co 60)

Se puede hallar detalles de los volumenes en Strathlentherapie.

No hay mas volumenes que vender pero acuerdo est posible para comprar pocas páginas sin beneficio (fotocopías y correo) con el autor quien tiene los únicos volumenes.

 

Summary

 

Radioprotection J.-M. Légaré Main Page

Professional Radiation Protection Services

Québec clinical dosimetry system for X-ray, cesium 137 and cobalt 60 equipment operating

at constant source-skin and source-center distances

 

These two volumes give us the axial distributions for one and for two opposing fields for tissue or water (radiobiology) between 0 and 26 cm thick. These distributions take into account the reduced scatter due to limited thickness. They are presented for all the situations found in radiotherapy. It suffices to slide the patient's cross section meeting the chosen triangular drawing and read directly the values between the entrance and the exit of the cross section. Only the treatment time needs to be calculated.

Both volumes were rapidly sold out when published.

A limited number of pages can possibly be obtained at cost price (photocopies and mail) with the author J.-M. Légaré.

One can obtain more details from the paper in Strahlentherapie.

Click here for more extensive data.

 

Resumo

 

 Página principal Radioprotection J.-M. Légaré

Serviços de radioproteção profissionais

 

Técnica quebequense de dosimetria clínica para aparelhos de raios X, de cesio 137 e de cobalto 60

funcionando com distancias fonte-pele e fonte-centro constantes

 

Estes dois volúmens fornecem distribuições axiais para um e dois campos com direção contraria para espessuras desde 0 até 26 cm. Estas expessuras consideram a dispersão (difusão) reducida. As distribuições aplicam-se a todas as situações encontradas na radioterapia. O único trabalho que temos que fazer é deslizar a secção do paciente até o encontro com o triangulo do ábaco correspondente e ler valores desde a entrada até a saída, e finalmente calcular o tempo de tratamento.

Os volumes não estão disponiveis para compra, mas se podera comprar fotocopias de algumas páginas pelo preço das copias e do envio postal.

Se pode encontrar mais explicações sobre estes volumes em Strahlentherapie.

Clique aqui pelos exemplos.

 

Haut de la page

 

http://www.sftext.com/

http://www.sftext.com/science/

http://www.sftext.com/radioprotection/

Le Monde selon Serge

The World According to Serge

El mundo según Serge

O mundo segundo Serge

Le Monde des sciences de la terre

World of Earth Sciences

Mundo de las ciencias de la tierra

Mundo das ciências da terra

Cartes du monde

World maps

Mapas del mundo

Mapas do mundo

Science

Science

Ciencia

Ciência

Radioprotection professionnelle

Professional Radiation Protection

Radioprotección profesional

Radioproteção profissional

Technique québécoise de dosimétrie clinique